9999999999轨枕-凯发国际真人
15898987265
15898987265
notice 网站公告
— 产品展示 —
原文发表于《科技导报》2025 年第14 期 《 磁感应通信的边界建立与分析 》
磁感应(MI)通信具有受介质影响小、信道稳定的特点,能够有效解决电磁波(EW)通信在极限环境中传输损耗过大的问题。然而,作为一种近场通信技术,其近场有效范围的局限性导致磁感应通信覆盖范围受限,因此,深入研究磁感应边界,对于指导磁感应通信系统的设计与优化具有重要意义。本文针对自由空间中薄环形天线电磁场的空间分布展开研究,综合考虑天线尺寸等参数,通过提出的判决参数给出更严格的磁感应边界。在此基础上,通过误差分析确定不同频率和空间角条件下环参数的取值范围,为磁感应通信参数设计提供理论支持。通过分析波阻抗幅值、空间电场与磁场相位差及磁感应接收强度因子空间变化率3种验证参数随距离的变化规律,深入揭示磁感应边界处的物理特性。研究发现,在磁感应边界处,磁场能量占主导地位,电磁场分布尚未达到稳定状态,且磁感应接收能量呈现快速衰减的物理性质。仿真结果表明,本文提出的磁感应边界公式能准确描述磁感应极限距离,确保在边界范围内有效发挥磁感应通信的特性。
随着通信场景不断拓宽和通信可靠性需求持续提升,极限环境下的通信成为新的研究热点。在智慧农业、边境安防、灾害救援和深海探测等场景中,均需建立高效稳定的通信链接。然而,电磁波通信在极限环境中面临高频衰减大、多径干扰严重和设备部署困难等挑战,亟须一种适应极限环境的通信方式。在此背景下,受环境影响小、能快速建立稳定可靠通信链路的磁感应通信得到广泛应用,为解决极限环境通信难题提供了新的思路。
磁感应通信作为一种新兴且极具潜力的物理层通信技术,在极限环境中的优势主要体现在以下2个方面。
一方面,磁感应通信采用非传播的感应场而非辐射场进行信息传递,其近场通信方式保证了低传输功率要求和更高的安全性。
另一方面,磁感应通信对于非磁环境具有较强的鲁棒性,通信介质的磁导率是影响磁场能量接收的关键因素。
由于极限环境中的磁导率与空气中的相近,因此,磁感应通信性能与空气中基本一致。此外,磁场的产生和传播对于天线尺寸无严格要求,可以根据场景合理设置收发线圈的尺寸,实现磁感应双向通信。在磁感应通信适用的近场区,辐射能量占比很小,因此,不存在多径衰落的问题。
综上所述,磁感应通信作为电磁波通信的替代技术,在地下传感器网络和管道泄漏等领域展现出广阔的应用前景。磁感应通信的优势本质上源于其近场磁场强耦合、低衰减的性质,这种特性不仅决定了磁感应通信的极限距离,而且影响着能量传输效率。因此,准确界定磁感应边界不仅是工程实践的技术需求,也是深入理解磁感应通信的理论基础。
目前,国内外对场域建立和划分的方法主要包括基于电偶极子场域、基于天线波前等相位面、基于波阻抗以及基于误差分析的方法。
其中,基于电偶极子场域的方法得到的边界条件被称为瑞利条件,但其仅从电偶极子的电磁场数学表达式上推导场域划分标准,场域的物理意义不够明晰,难以适配真实天线的结果;
基于天线波前等相位面的方法针对天线电磁波传播的波前相位误差进行研究,将一个在测量中可以容忍的最大相位误差量作为边界,但该方法未直接考虑电磁场分量与距离的关系,强调的是波从球面波到平面波的近似过程;
基于波阻抗的方法通过分析波阻抗的变化来划分场域,但不同场域划分的波阻抗阈值选择并无统一标准,因此,波阻抗仅可作为场域建立的验证性参数,无法作为场域划分的直接依据;
基于误差分析的方法通过有限元仿真或计算软件获取电磁场分布数值,并利用误差估计器量化场域划分的界限,虽然能够验证不同场域的性质,但无法直接推导出场域边界的显式表达。
基于上述4种基本方法,研究人员围绕不同天线模型、判决条件和误差界限,对场域建立和划分展开更为深入的研究。
Laybras等重新定义电偶极子与辐射特性相关的标准,确定短偶极子、半波长和全波长偶极子的辐射区域边界,提出更严格的限制条件,并给出远场区和近场感应区的新边界值。
Amin等提出一种基于波阻抗和相位差理论的场域划分新方法,并通过这2项指标明确感应近场与远场的数值界限。
Baumgartner等对偶极子天线、线圈天线和八木天线进行有限元仿真,依据IEEE标准对经典的远场和近场边界进行验证,证明场边界划分标准和仿真结果存在差距,并提出新的“体素模型”和“表面模型”,以更好地表示天线场域。
Selvan等系统推导了适用于任意平面孔径天线的菲涅尔区和弗劳恩霍费尔区的边界条件,通过标量衍射理论中的相位因子展开,结合泰勒级数近似,提出统一的菲涅尔区和弗劳恩霍费尔区距离计算方法。
Asvestas通过分析薄直导线散射磁场的格林函数表达式,提出3个基于幅度和相位误差限制的公式,分析认为场域距离并非固定参数,而是取决于具体应用对误差的敏感度。
Monemi等从相控阵天线特性出发,将其辐射近场区进一步细分为3dB辐射焦点区、辐射焦点区和近场区,通过数值计算与最优化问题建立相控阵天线的场域标准,并对不同场域的性质和误差进行分析。
Nolwenn等通过Stratton−Chu积分公式和格林函数,系统推导了菲涅尔距离和弗劳恩霍费尔距离,并提出一个新的依赖于发射端和接收端角度的弗劳恩霍费尔距离准则,修正场域建立与收发端相对角度无关的局限性。
Cui等根据无限小电偶极子模型重新分析电场特性,提出一种涉及距离和空间角的远场边界定义新方法。
综上所述,目前场域建立研究均选取特定的电磁参数指标,建模和分析多基于电天线平面波理论,缺乏适用于磁感应场域模型建立和分析的理论。鉴于磁感应通信与电磁波通信在模型建立和能量接收方面存在差异,建立薄环形天线空间中电磁场分布的精确模型,进一步给出适用于磁感应场域研究的判决参数,推导出基于天线尺寸的更严格边界,并结合3种验证参数证明磁感应边界处磁场感应能量占主导、电磁场分布尚未稳定和磁感应接收能量衰减较快的物理性质。最后,通过对磁感应边界计算的误差分析,得到环参数的取值范围,为磁感应通信系统设计提供指导。
在实际分析与模型建立中,磁感应发送线圈常被建模为磁偶极子模型。在该模型中,发送端被视作点源,接收端则被视作具有一定半径的环形天线。磁偶极子模型虽然便于表征空间电磁场的分布,但在简化计算过程中忽略了发送线圈的几何结构、形状尺寸和电流分布对空间电磁场分布的影响。鉴于磁感应近场电磁分量分布较复杂,引入薄环形天线模型进行分析。薄环形天线由金属导体绕制,在空间中具有一定体积,是以导体两端点作为馈电的天线结构,且绕制天线的导体周长远小于自由空间中的波长。

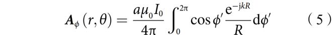
,其中I0表示天线中电流幅度,表电流沿着球坐标系中的方位角传输。进一步可以得到单个线圈在自由空间中的矢量磁位为

式中,r表示收发两端磁天线中心点的距离,ϕ与ϕ′分别表示接收端和发送端线圈位置的方位角;

为发送磁天线线圈上一点到接收天线中心点的距离;θ为空间角;k为自由空间中的波数;j表示虚数单位;μ0为真空中的磁导率;a为薄环形天线的圆心至天线外绕线的距离。
薄环形天线,其中P(r,θ,φ)为接收天线的球坐标;Iφ为沿方位角方向的电流强度。若要式(1)成立,需满足环参数v=ka0.2 rad,即导线中不同位置的电流不存在相位差异。有关天线计算的书籍均指出,式(1)无法直接用于计算,需进一步做出假设和近似处理。该模型适用于磁感应通信中频率较低且线圈尺寸较小的情况,当频率提升或线圈半径增大至不再满足薄环形天线的适用条件时,必须考虑电流沿导线分布的相位变化,此时需将薄环形天线模型转换为行波环形天线模型进行分析。

目前,电磁波路径损耗计算基于自由空间中的Friis传输公式,无法适用于电磁波为球面波且能量激发方式不同的磁感应通信。本节从法拉第电磁感应定律接收端感应电压的角度出发,分析接收端完全匹配时的功率模型。
由于电路设置和匹配方法存在差异,导致接收功率不同,无法获得统一的磁感应能量接收值
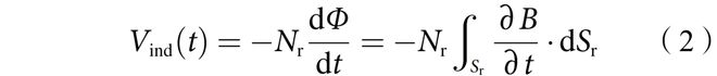
已有研究利用电磁场分析构建磁感应通信路径损耗模型,从而获取更加准确的路径损耗结果。由法拉第电磁感应定律的积分形式可知,在时变磁场下,接收端静止的环形回路中感应电压时域表达式为

式中,Nr为接收线圈匝数;Φ为穿过接收线圈的磁通量;∂B/∂t表示磁感应强度B随时间的变化率;Sr为接收线圈处的表面积;点积表示垂直穿过接收面的磁通量。

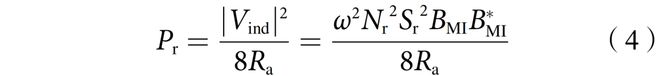
式中,ω为发送端激励信号的角频率;BMI为穿过接收环形回路的磁感应强度。当接收端天线完美匹配时,得到的接收功率为

式中,Ra为发送端的线圈电阻,B∗MI表示对接收环形回路的磁感应强度取共轭。
在实际的电磁场空间分布中,电磁场连续变化,不存在主观设置的物理硬边界。在实际应用中,为简化计算并利用某一场区内电磁场的性质,引入限制条件对辐射源外部空间进行细分。当天线尺寸远小于信号波长时,可将空间中的电磁场划分为远场区(辐射场区)、中间场区(辐射近场区)和近场区(感应近场区),具体情况见图2,其中λ为波长,D为天线的最大孔径。各场区的主要性质与区别如下。

1)远场区:电磁波在局部空间表现为平面波,其空间角与径向上的表达相互解耦,辐射模式被完全定义且与径向距离无关。
3)近场区:作为天线与中间场之间的区域,区域内电磁波性质复杂,数学表达式须琐。
近场区内能量表现为振荡形式,在空间中主要表现为存储状态且可恢复,并不向空间辐射。近场区内不存在稳定的方向图,场的分布结构与距离密切相关;同时,电场与磁场处于失相状态,二者具有任意方向。在近场区,感应功率占主导地位,在实际应用中需要充分考虑发射天线、接收天线与周围环境之间的电磁耦合,其能量传递效率与周围环境密切相关。
电磁波通信通常利用电天线辐射的远场信号,而磁感应通信使用磁天线的磁信号感应在近场区进行信息传递。由于磁感应在能量接收上存在差异,目前的近场区域无法完整描述磁感应通信的适用范围,因此需要确定磁感应通信的极限距离,明确磁感应边界及不同区域内的性质。
在对极限环境中的磁感应线圈进行建模时,考虑到环境对于天线尺寸和信号频率的限制,天线 m内,同时信号频率在兆赫兹及亚兆赫兹范围内。基于此,引入薄环形天线模型对空间电场和磁场进行建模分析。
该模型以少量增加计算量为代价,可充分考虑电流沿导线的分布情况以及线圈半径对磁场分布的影响,有效提升模型的准确性和适用性。
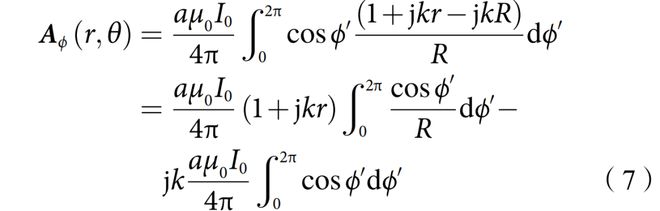
在式(1)中,假设天线上的电流均匀同相,对于周长大于1/4波长的情况,可以在天线间隔处使用移相环,以此确保线圈中电流满足均匀同相的条件。考虑到图1中天线中心与坐标原点重合,薄环形天线模型为圆柱面对称,可设ϕ=0,代入式(1)可得

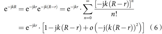
由式(5)可知,磁感应通信的接收强度主要与磁感应强度和信号频率有关。在计算矢量磁位时,为了保证结果的准确性,并确保公式误差处于可控范围,可对相位项e−jkR和幅度项1/R分别采用不同的近似方法。针对相位项的简化,利用泰勒公式展开

考虑到相位项对磁感应精度的影响较小,计算时取前2项作为近似值。以第3项作为近似误差项,把o(−j(k(R−r))2)表示的二阶高阶无穷小量舍去。由图1可知,R、r和a构成三角形的3条边,由几何关系可知R−r

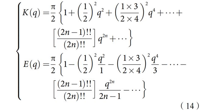
由于式(7)中第2项积分为0,仅需计算第1项的结果。因此,可将结果表示为第1类完全椭圆积分K(q)和第2类完全椭圆积分E(q)的组合

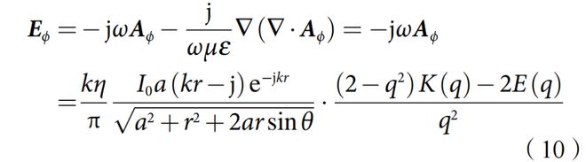
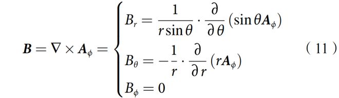
得到自由空间中的矢量磁位Aϕ(r,θ)后,根据变换关系推导出电场强度和磁感应强度等电磁分量的表达式。由于矢量磁位Aϕ并非ϕ的函数,可知∇·Aϕ=0,因此电场强度仅有沿ϕ方向的分量Eϕ,可得


磁感应通信的优势在于其对复杂介质环境的鲁棒性和对低频信号传输的适配性,可以根据实际场景需要和功率能量要求灵活调整信号频率和线圈半径。
一旦超出有效传输范围,其性能将显著下降。因此,有必要明确磁感应的场域边界,并突破传统场域边界仅依赖信号波长的局限,在场域边界建立和分析中引入线圈参数等影响因素。磁感应通信利用收发线圈的磁场耦合进行通信,可以得到磁感应通信的路径损耗公式为

式中,Nt和Nr分别为发送线圈匝数和接收线圈匝数;at和ar分别为发送线圈半径和接收线圈半径。
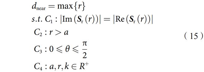
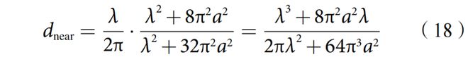
边界模型构建IEEE标准将感应近场定义为紧密围绕在天线周围并以感应功率为主导的区域,其边界需要满足rnearλ/(2π),λ表示传输信号的波长。边界处rrd=λ/(2π)被称为弧度距离。本节在IEEE标准的基础上,将磁感应边界建模为优化问题,通过求解非线性方程得到磁感应边界。

式中,Sr(r)=0.5×Eϕ×H∗θ表示沿任意径向的复坡印亭矢量,其中H∗θ表示θ方向的磁场强度取共轭。·表示取绝对值运算;Re(·)和Im(·)分别表示对复数取实部与取虚部运算。复坡印亭矢量的虚部表示感应功率,实部表示辐射功率。

将式(10)、(11)和(14)代入式(13),计算并判断f(r,θ,ϕ)的大小;若f(r,θ,ϕ)0,则可判定为近场区域。依据IEEE标准关于感应近场和辐射近场边界的定义,可将磁感应边界设定为辐射功率与感应功率绝对值相等的位置。基于此,将该标准延伸至磁感应边界,可将磁感应边界建模为如式(15)所示的优化问题

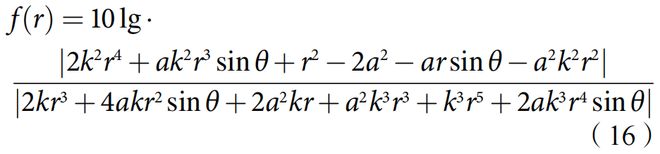
式中,dnear表示最终求解的磁感应边界;max{·}表示求取最大值操作;C1−C4表示了求解磁感应边界的4个限制条件。为了准确估计磁感应通信边界并推导其显式表达,在场域划分时加入r0的区域,且场域建立与方位角无关。R+限制了a、r和k的范围在正实数域。根据上述条件,将式(13)代入式(15)进行推导计算。对结果进行化简,可以得到分界条件为

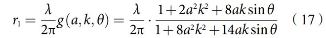
将f(r)=0作为磁感应边界的范围,在该范围内,磁感应能量占据主导;超出此范围,则电磁波通信更具优势。通过牛顿迭代法求解非线性方程,得到包含空间角的磁感应边界表达式为

需要注意,式(17)可以表示为弧度距离项与修订因子项的乘积,其中修订因子项g(a,k,θ)=


误差分析在推导式(16)的分界条件时,为了简化计算,可省略高阶项。本节先给出省略高阶项带来的最大误差,然后引入相对误差估计器,在设定误差界限的情况下得到环参数的取值范围。


err(·)max表示在r=dnear条件下取最大误差项并计算其最大误差值作为累积误差最大值。考虑到式(20)为正实数,计算误差只对坡印亭矢量实部产生影响。代入式(17)的分母中,得到引入级数高阶项的磁感应边界为

将环参数v视为变量,其数值反映了沿环电流振幅和相位分布的均匀程度。环参数大小直接决定级数高阶项的数值,既影响磁感应边界的取值,也影响边界模型使用的准确性。因此,引入相对误差估计器err(ν,θ),其定义为

误差来源于使用r1(v,θ)近似r2(ν,θ)时省略的高阶项,通过设定相对误差容忍界限0⩽err(ν,θ) χ(χ⩾0),可以得到环参数的取值范围。相对误差越小,使用薄环形天线模型越能准确描述空间中的电磁场分布,进而准确界定因系统模型选择带来的误差。 pan
磁感应天线和传统电磁波天线在不同区域内电磁场分布的差异,是磁感应通信和电磁波通信的本质区别。
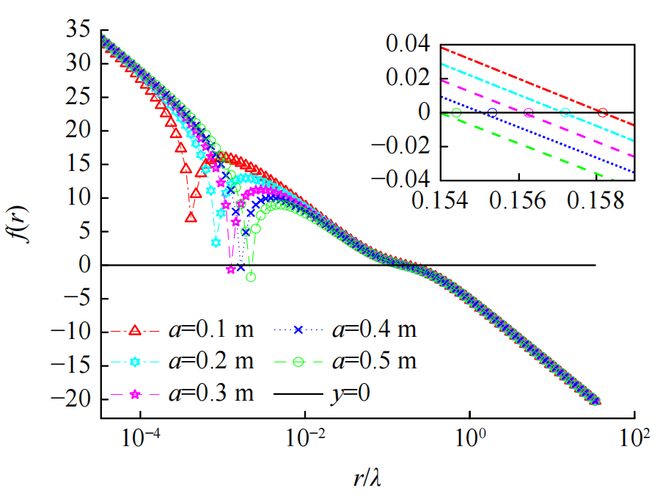
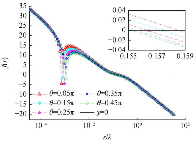
边界模型结果分析通过数值仿线)随距离的变化,并在过零点处与磁感应边界式(18)的边界点进行对比,分析磁感应边界的准确性与影响其边界的关键因素。


综合分析图3和图4的结果可知,磁感应边界可拆分为弧度距离项和修订因子项。其中,修订因子项表明磁感应边界与信号波长成正比,与天线尺寸成反比。信号波长越大,信号在空间中的变化速率越慢,需要传播更远的距离才能到达磁感应边界。这与传统认知中“天线尺寸越大,场域距离越大”的观点不同,仿真结果显示,天线尺寸的增加反而缩短了磁感应边界的距离。这是因为磁感应边界受误差条件限制,需要结合3.1.2节中的误差分析综合考量。天线尺寸越大,其越不满足薄环形天线电流均匀分布的假设,导线中电流分布的变化导致空间电磁分量改变,在本文的判决参数下表现为磁感应边界随天线尺寸增大而减小。

误差模型结果分析通过对2.2.2节提出的相对误差估计器进行数值仿真,综合分析环参数和空间角对相对误差的影响,结果见图5。利用二阶多项式拟合相对误差与环参数的关系,求得设定相对误差容忍界限下环参数的取值范围。

空间角分别取π/8、π/10和π/12,先计算err(ν,θ),再对不同条件下的误差结果进行二阶多项式拟合,结果如图6所示。拟合结果中,决定系数R2值均接近1,表明二阶拟合可以较好地表示环参数与相对误差的关系。通过拟合参数得到相对误差与环参数的关系,结果见表1。可见偏离中心轴角度越大,相对误差越大;在环参数较大时,空间角是影响磁感应边界的关键因素。此外,相对误差容忍界限要求越严格,环参数最大值越小,对于电流均匀分布的要求也越高。

图6 θ为π/8、π/10和π/12时相对误差与环参数的二阶多项式拟合结果

通过仿真分析,选取波阻抗幅值、电场与磁场的相位差以及磁感应接收强度因子变化率3种验证参数,对磁感应边界特性进行研究。具体验证了磁感应边界处电场与磁场能量的相对分布、电磁场的稳定性,以及磁感应接收能量的衰减特性等物理性质。
波阻抗理论波阻抗是电磁波的一个重要参数,定义为电场强度与磁场强度的比值,用于反映空间中电场和磁场的变化关系。通过比较波阻抗与本征阻抗的相对大小,可以评估空间中电场或磁场何者占主导地位。

图7(a)为10 MHz信号频率下,薄环形天线波阻抗与波长归一化距离的关系。可见随着距离的增加,波阻抗不断增大且趋近于介质的本征阻抗,这反映出磁场的相对强度在不断减小,也说明电磁场中更多能量向辐射能量转化。当距离增加至磁感应边界(dnear≈4.7 m)时,波阻抗η≈180 Ω,略小于介质本征阻抗的一半,说明此时磁场的相对强度大于远场区。
图7(b)~(d)分别对信号频率为1、0.5和0.1 MHz的情况进行仿真,结果表明在不同频率下,磁感应边界处的波阻抗均满足η≈180 Ω的条件,这说明在磁感应边界范围内,相较于无穷远处,磁场的相对占比达到2倍以上,证实了磁线圈激发磁场的能力更强,同时说明离天线较近的范围内更适合使用磁感应进行通信。
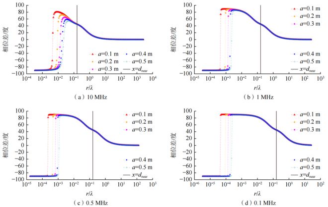
相位差理论电场和磁场的相位差反映了空间中电磁场的稳定性。在天线近场区,电场和磁场完全失相,空间能量主要以感应能量的形式分布;而在天线远场区,电场和磁场变为同相,能量则以辐射能量的形式分布。

不同频率下相位差随波长归一化距离的变化情况见图8,仿真结果显示,电磁场的相位差均从90°的失相状态逐步转变为0°的同相状态,反映了空间中电磁场分布从不稳定到稳定的过程。当传输距离超过一个波长后,相位差变化基本可以忽略,电磁波已到达远场区,此时电磁场保持稳定。在3种频率和不同线圈半径的情况下,仿真结果均显示在磁感应边界处,电场和磁场之间存在45°的相位差。相位差理论的结果与波阻抗理论相符,因为当电场和磁场相位差为45°时,能量中的一半表现为实部的辐射能量,另一半表现为虚部的感应能量。
需要注意,不同信号频率和线圈半径不会影响磁感应边界处电磁场稳定的条件,因此,相位差同样可以作为一个验证参数,用于说明磁感应边界两侧的性质。然而,信号频率和线圈半径会影响相位差的收敛速度,线圈半径越大或者信号频率越高,相位差衰减速度越慢。这进一步说明环参数是指导磁感应通信与设计的关键因素。
磁感应接收强度因子空间变化率磁感应通信基于法拉第电磁感应定律实现能量耦合,本节首先定义了磁感应接收强度因子,然后通过求取接收强度因子空间变化率并将其作为验证参数,证明磁感应通信的空间衰减特性。
磁感应通信通过收发天线之间的电磁耦合建立连接,在计算空间电场和磁场分布时,仅需考虑发送磁天线的模型;但在建立路径损耗模型时,需同时考虑收发天线的模型与尺寸。此外,磁感应分析方法基于弱耦合变压器模型,常使用等效电路模型进行分析。在不同等效方法和电路设置情况下,磁感应的接收功率在计算上存在差异,难以在同一框架下与电磁通信的接收功率进行比较。

当接收天线平面垂直于磁场径向分量时,磁感应接收功率达到最大,此时BMI=Br。式(24)反映了磁感应通信能量仅与磁感应强度有关,与电场强度无关。同时,考虑到复杂介质中磁导率为恒定值,说明磁感应通信对介质不敏感,相比电磁波通信,其受介质影响较小,能在复杂环境中实现稳定传输,充分体现了磁感应通信环境适应性强、受多径干扰影响小和跨介质能力强的特点。

Δκ表示κ(r,θ)随距离r的变化率。式(25)描述了同一空间角下,磁感应强度因子随径向距离的相对变化情况。结合式(24)、(25)可知,影响磁感应的关键因素是信号频率和磁感应强度。
由图9(a)可知,在10 MHz信号频率下,随着波长归一化距离的增加,空间变化率持续减小,磁感应通信在超过一定距离后急剧衰减,磁场感应能量基本消失。比较不同线圈半径磁感应接收强度因子空间变化率可以发现,线圈半径越大,Δκ值越大,即空间差分值越大,但不同尺寸线圈衰减趋势一致,说明磁感应的衰减特性主要取决于感应能量的产生机制,与线圈尺寸无关。当线 m内变化时,磁感应边界处的Δκ值均小于-20 dB,表明超过边界后磁感应能量变化很小,不再适用于磁感应通信。图9(b)~图9(d)分别对信号频率为1、0.5和0.1 MHz的情况进行数值仿真,结果显示低频情况下Δκ值更小,磁场能量会在更近的距离下达到稳定状态。

图10为同一线圈尺寸下空间变化率及其对应的磁感应边界,可见在理想介质中,随着频率的提高,空间变化率增大,而磁感应边界向天线近端移动。这是因为磁感应通信基于法拉第电磁感应定律,其强度取决于磁场在一定空间范围内随时间的变化率。在其他条件不变的情况下,频率提高时,电磁场变化加快,感应能量随之增加。

针对现有场域模型存在的建模条件模糊、指标单一和难以延伸至磁感应通信等问题,本文提供了一种考虑磁天线尺寸和能量接收方式的边界计算公式。该公式通过引入磁天线结构参数,实现对空间电磁分布更精确的划分,使场域模型更加贴合真实电磁场的分布。
磁感应边界处的物理特性:磁场能量占主导地位,电磁场分布处于非稳定状态,磁感应接收能量呈快速衰减趋势
磁感应边界的确定可以有效指导磁感应通信参数的选择,使电磁参数与环境因素相适配。但实际应用中,磁感应通信距离难以延伸至理论边界。
作者简介:刘光华,华中科技大学第六代移动通信研究中心和网络空间安全学院,副教授,研究方向为地下磁感应通信。

《科技导报》创刊于1980年,中国科协学术会刊,主要刊登科学前沿和技术热点领域突破性的研究成果、权威性的科学评论、引领性的高端综述,发表促进经济社会发展、完善科技管理、优化科研环境、培育科学文化、促进科技创新和科技成果转化的决策咨询建议。常设栏目有院士卷首语、科技新闻、科技评论、专稿专题、综述、论文、政策建议、科技人文等。
如有需求请您联系我们!
地址:海南省海口市58号
电话:15898987265
手机:海南省海口市58号
Copyright © 2024-2026 有限公司 版权所有 非商用版本 ICP备案编:粤ICP备97780161
